| 제목 | 답변완료 3강 29분 | ||
|---|---|---|---|
| 질문유형 | 강좌내용 | 교수님 | 김민우 |
| 과목 | 기초수학 | 강좌명 | |
| 작성자 | 김*우 (n***********************e) | 등록일 | 2026-01-20 22:32 |
|
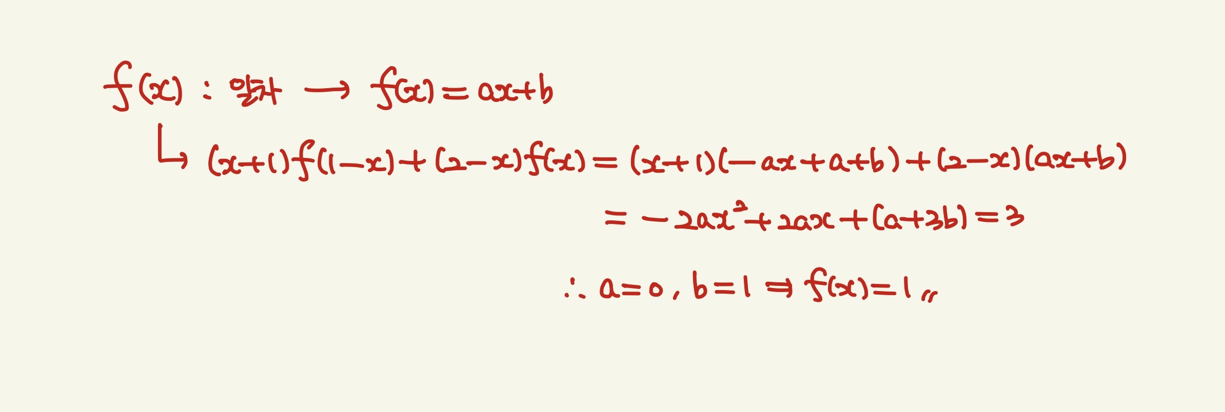
이부분에서 f(x)를 일차로 두고 ax+b로 잡으면 다섯번쨰줄에 f(1-x)는 ax+b가 되는게 아니라 a(1-x)+b가 되어야 하는건 아닌가요? f(x)도 ax+b 로 치환하고 f(1-x)도 ax+b라고 해서 이해가 안됩니다.
답변 완료된 질문과 답변은 수정 및 삭제가 불가합니다. |
|||
- 댓글
- 0
김*우
교수님
안녕하세요!
해당 부분은 오타가 이미 발견되었어서 수정작업이 이루어지고 있었습니다.
수강하실 때 수정된 부분이 반영되지 못한 부분에 대해서 양해부탁드립니다.
아래의 사진과 같이 반영하시면 해당 문제는 해결이 가능합니다.
질문에 참고가 되시길 바라며 추가 질문이 있으실 경우 언제든지 질문주시기 바랍니다.
- 2026-01-22
























