| 제목 | 답변 준비중 최종평가 질문 | ||
|---|---|---|---|
| 질문유형 | 기타 | 교수님 | 김민우 |
| 과목 | 기초수학 | 강좌명 | |
| 작성자 | 노*우 (K**********5) | 등록일 | 2025-12-24 16:12 |
| 첨부파일 | |||
|
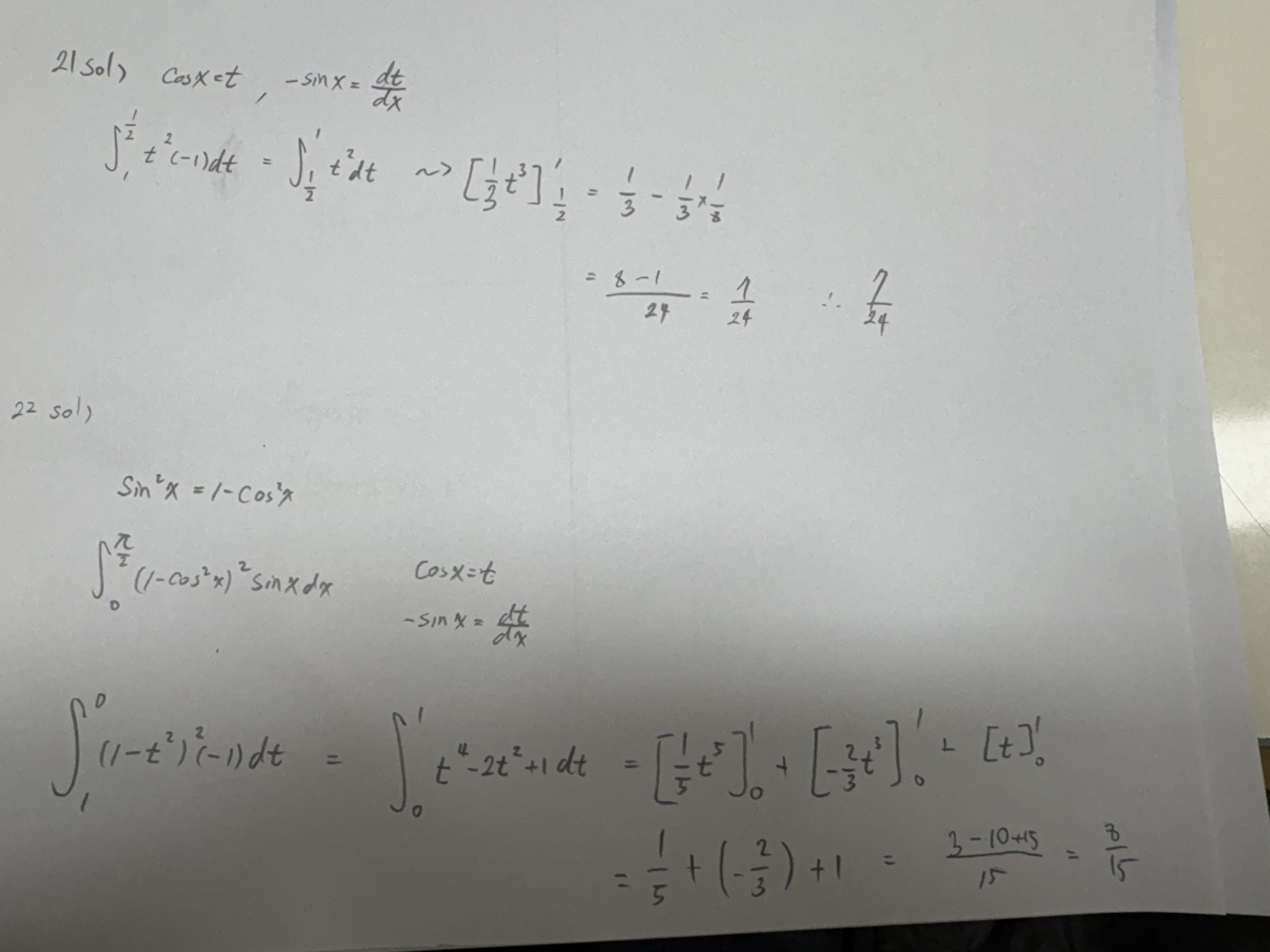
기초학력평가 최종평가 21번, 22번인데 풀이를 알려주세요. 몇번풀어도 같은답으로 나와요. 전 위의 사진처럼 풀었습니다 답변 완료된 질문과 답변은 수정 및 삭제가 불가합니다. |
|||
- 댓글
- 0
























