| 제목 | 답변완료 4장 다변수 스칼라함수의 극한 예제 3.1 | ||
|---|---|---|---|
| 질문유형 | 강좌내용 | 교수님 | 임계수 |
| 과목 | 미분적분학 | 강좌명 | [미분적분학] 미분적분학2 기본 (이론+예제풀이) |
| 작성자 | 이*성 (n***********************5) | 등록일 | 2025-12-16 23:43 |
|
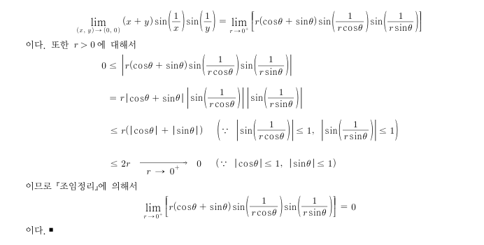
다음 문제의 극한을 구할때 저같은 경우 절대값 sin(1/x) 절대값 sin(1/y) <= 1 이고 절대값 (x+y) 의 극한이 0이기에 조임정리에 의해 피함수의 극한이 0이라고 생각하고 넘겼습니다 그러나 교수님께서 다른 학생에게 답해주신 방법을 보니 교수님께서는 삼각부등식을 활용하여 절대값을 푸시는 전개를 보여주셨는데 제 풀이에서 멈추게 되면 수학적으로 결여가 있어서 더 전개하신건지 궁금하여 질문드립니다. 답변 완료된 질문과 답변은 수정 및 삭제가 불가합니다. |
|||
- 댓글
- 0
관*자


안녕하세요.
유니스터디 임계수입니다.
질문에 대한 답변입니다.


- 2025-12-17

























