| 제목 | 답변완료 공학수학1 / p13 / 예제 2.1 - (10) | ||
|---|---|---|---|
| 질문유형 | 기타 | 교수님 | 임계수 |
| 과목 | 공학수학 | 강좌명 | [공학수학] 공학수학1 : 상미분방정식과 라플라스변환 |
| 작성자 | 이*호 (l********1) | 등록일 | 2025-11-14 15:29 |
| 첨부파일 | |||
|
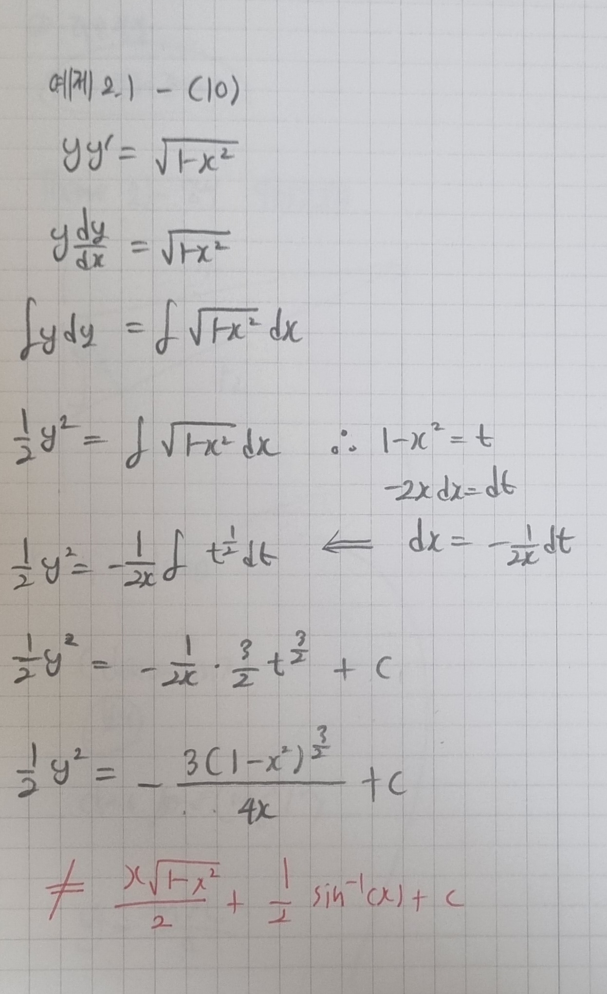
이미지에 제시한 것 처럼 풀이를 진행했는데, 답지와는 전혀 다른 답이 나와서 좀 당황했습니다.. 적분해서 sin역함수가 나오려면 1/sqrt(1-x^2)이 있어야 하는데 그러한 식도 못찾겠고, 답지에는 항이 여러개 존재하는데 제 풀이는 적분상수를 제외하면 항이 한 개로 정리됩니다. 답지와는 다른 답이지만 맞는 풀이인건지, 부족한 부분이 뭐였는지, 개념적으로 부족한건 없는지 궁금합니다 답변 완료된 질문과 답변은 수정 및 삭제가 불가합니다. |
|||
- 댓글
- 0
관*자



안녕하세요.
유니스터디 임계수입니다.
질문에 대한 답변입니다.



- 2025-11-18























