| 제목 | 답변완료 미적분학의 올바른이해2/8단원 이중적분/8pg 예제 2.6질문입니다 | ||
|---|---|---|---|
| 질문유형 | 학습방법 | 교수님 | 임계수 |
| 과목 | 강좌명 | ||
| 작성자 | 안*찬 (a*****7) | 등록일 | 2024-01-10 19:03 |
| 첨부파일 | |||
|
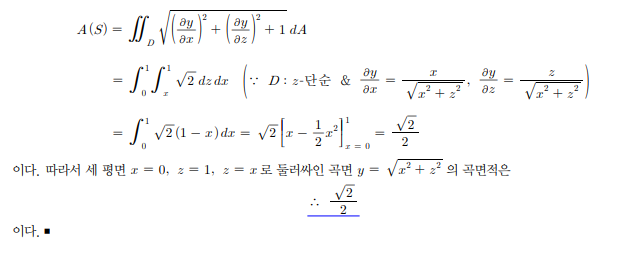
풀이를 편하게 하기 위해서 원래 f(x,y)에 대해 이중적분을 하지만 문제의 특성상 y가 공식의 z역할을 하기에 곡면 식을 루트(라운드y/라운드x의 제곱 더하기 라운드 y/라운드z의 제곱 더하기 1 형태로 바꿔 문제풀이를 했습니다 그런데 공식 대로 z에대해 미분하는 방식으로 접근하는게 접근이 잘 돼지 않아 해답에서의 문제풀이는 어떻게 풀이하였는지가 궁금합니다 답변 완료된 질문과 답변은 수정 및 삭제가 불가합니다. |
|||
- 댓글
- 0
관*자
안녕하세요. 유니스터디 임계수입니다.
질문에 대한 답변입니다

- 2024-01-12
- 2024-12-12 수정
























