| 제목 | 답변완료 상미분방정식과 라플라스변환 (Ver. 2022) | ||
|---|---|---|---|
| 질문유형 | 강좌내용 | 교수님 | 임계수 |
| 과목 | 공학수학 | 강좌명 | |
| 작성자 | 박*귬 (z********2) | 등록일 | 2023-09-08 13:18 |
| 첨부파일 | |||
|
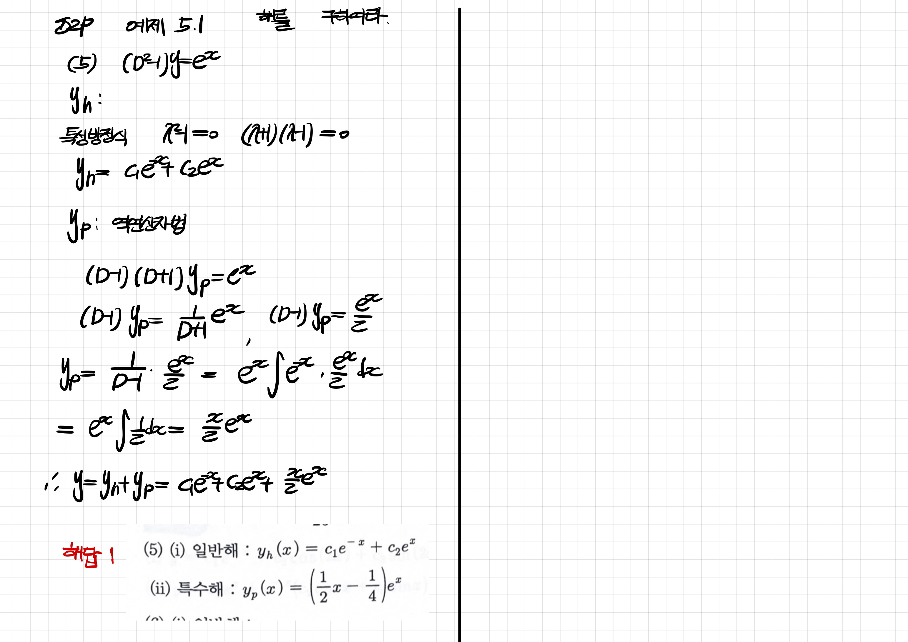
82p 예제 5.1 (5)를 제가 한번 풀어봤는데 왜 해답과 다른지 궁금합니다. 답변 완료된 질문과 답변은 수정 및 삭제가 불가합니다. |
|||
- 댓글
- 0
관*자
안녕하세요. 유니스터디 임계수입니다.
질문에 대한 답변입니다.




- 2023-09-12
- 2024-12-12 수정
























